giovedì 8 Gennaio 2026 - 07:24:13 PM
News
- Strada ghiacciata, auto si ribalta fuori strada: conducente in ospedale
- Incendio in via San Giovanni, provocato da un clandestino: aveva acceso un fuoco per scaldarsi
- Manca l’elettricità nel Palazzo di Giustizia, rinviate le udienze penali
- Insieme contro le dipendenze patologiche, il Comune approva programma di prevenzione per i ragazzi
- Molisano trucidato da commando armato: il ricordo di Francesco Ciavatta, ucciso a 18 anni durante gli anni di piombo
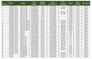
- Carburante agricolo agevolato, via alle domande per l’assegnazione provvisoria
- Maltempo e temperature in picchiata, neve nell’entroterra. Scuole chiuse a Campobasso
- Campobasso: incendio in un locale in via San Giovanni, strada chiusa durante operazioni di spegnimento




